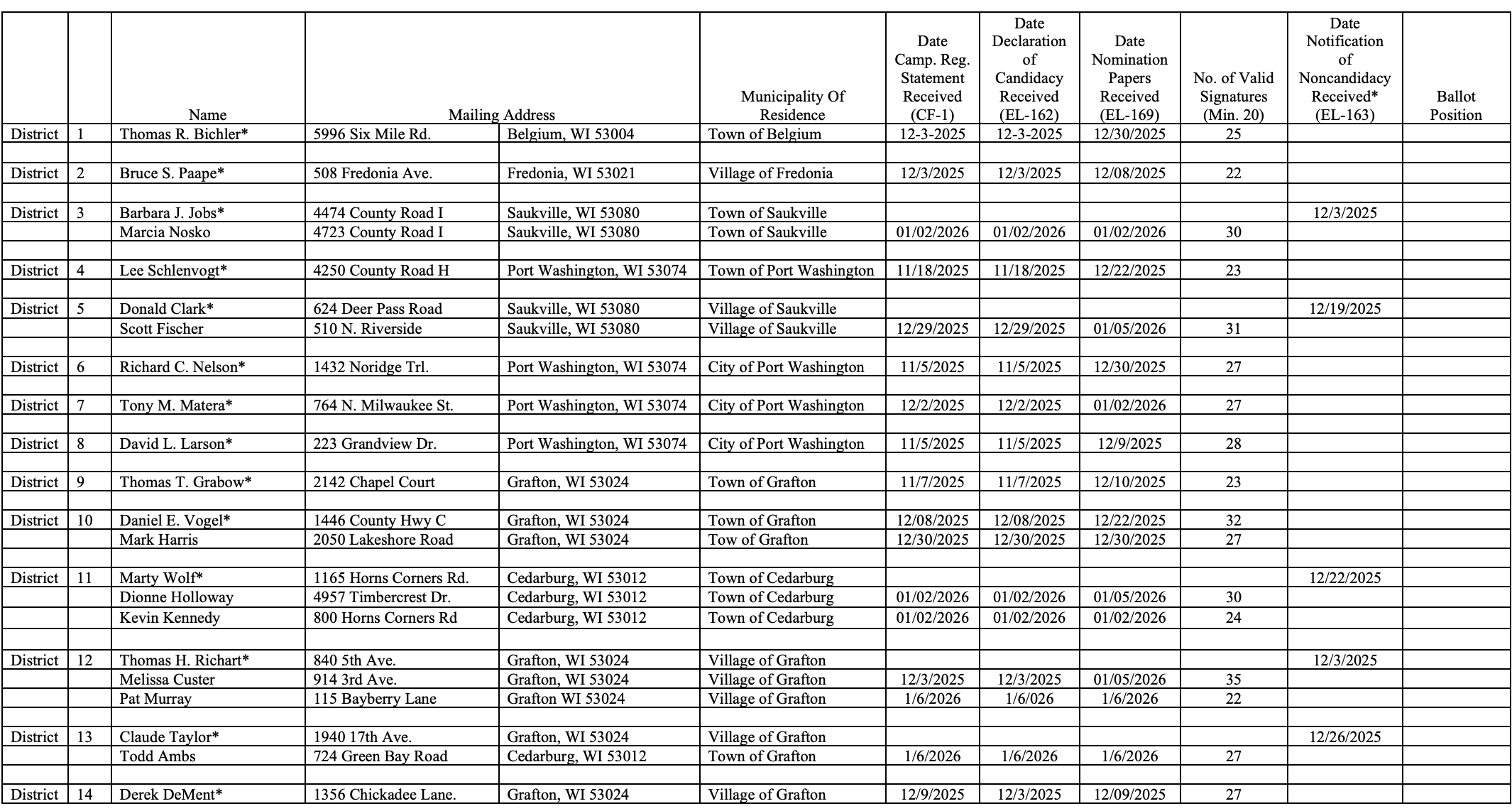
Far Left Organizers and County Supervisors Connie Kincaide and Dan Vogel to Face Challengers
At the filling deadline on Tuesday, the County Clerk's office was reporting that both Connie Kincaide (Supervisory District #16) and Dan Vogel (Supervisory District #10) were set to face opponents. In District 16 – City of Cedarburg– Amy Elleson-Baster filed to run and submitted the sufficient number of signatures to make the ballot. In District #10 – a Town of Grafton district–saw Mark Harris declare and also hit the sufficient number of signatures to be on the ballot.
Reports are emerging that both challengers, Amy Baster and Mark Harris, were recruited by conservative operatives in Ozaukee and will likely have the full backing of the Republican Party of Ozaukee County in April.
Kincaide also sits on the Cedarburg School Board, where reports are emerging that she will face a challenger in that race as well. Sources have long reported of her far left views and that she has had a role in organizing the recent "No Kings" Cedarburg protests.

Dan Vogel, for his part, has also been a key figure in the "No Kings" protests at highway overpasses in recent months. Vogel is the supervisor for a District that went to President Trump by +25 percentage points in November of 2024, making this race a likely pick up for conservatives.

